
Impedance control in PCB design is not merely a practice but a fundamental requirement for ensuring signal integrity in high-speed circuits. As the operating frequency of electronic circuits continues to increase, understanding and controlling impedance becomes even more critical. Whether you are designing a high-frequency RF circuit or a high-speed digital system, incorrect impedance matching can lead to signal reflections, cross-talk, data errors, and ultimately, system failure.
In this article, we’ll dive deeper into the advanced considerations and practical insights needed to master PCB impedance control. These tips go beyond the basics, offering expert-level advice for ensuring your PCB designs are robust, reliable, and ready for high-speed applications.
1. Comprehend the Physical Principles of Impedance: A Detailed Overview
Impedance control is central to preventing signal degradation. For PCB designs, impedance is primarily determined by the geometry of the trace, the dielectric material between layers, and the layout of surrounding ground and power planes.
- Single-ended impedance: This is typically used for traces carrying a signal relative to a ground. Common values are 50 ohms, which is often used in RF circuits, or 75 ohms for TV signals and other analog designs.
- Differential impedance: This type of impedance applies to pairs of traces, where the signal is carried as a differential voltage between two traces. The target differential impedance is typically 100 ohms, suitable for high-speed digital circuits like USB or Ethernet.
The underlying principle of impedance control is to match the impedance of the trace with the source and load impedances. Any mismatch creates reflections, which occur when the signal encounters a discontinuity in the transmission line, causing the signal to bounce back and distort.
To understand how this works in practical terms, think of a signal traveling along a PCB trace like a wave propagating through a medium. The impedance of the trace is akin to the "resistance" that this wave "feels" as it moves. If the impedance is mismatched (too high or too low), the wave gets distorted, just as an electric current experiences resistance in a wire. This can lead to significant issues at higher frequencies.
Expert Tip: When selecting trace width, always take into account skin effect (where high-frequency signals tend to travel along the surface of the conductor) and the effects of frequency on signal propagation. The impedance calculation must account for these factors, especially in high-frequency designs.
2. Advanced Calculations for Trace Width and Spacing
Although online calculators are convenient for basic designs, a deeper understanding of the underlying math will allow for more accurate results in specialized applications. For controlled impedance, you need to understand the relationship between trace geometry, dielectric properties, and the PCB stack-up.
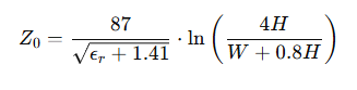
The impedance of a microstrip (a trace on the surface of a PCB) or stripline (a trace embedded between layers) can be computed using empirical formulas that account for the trace width (W), the height of the trace above the reference plane (H), and the dielectric constant (εr) of the PCB material. A commonly used equation for microstrip impedance is:

Where:
- Z。 is the characteristic impedance,
- εr is the relative dielectric constant,
- H is the height of the trace from the reference plane,
- W is the width of the trace.
For differential impedance, you need to consider the distance between the two traces (D) and the spacing between them. For a pair of traces to maintain a differential impedance of 100 ohms, the spacing D is critical and should remain consistent throughout the layout to avoid skew.
Expert Tip: Utilize 3D field solvers like Ansys HFSS or Sonnet Suites to simulate the impedance of complex PCB geometries. These tools give you a more accurate prediction of real-world impedance, especially in designs with non-standard geometries or advanced materials.
3. Stack-Up Design: Materials, Layers, and Dk Considerations
The PCB stack-up design is one of the most critical factors for achieving controlled impedance, particularly in multi-layer boards. A typical 4-layer PCB stack-up might look like this:
- Layer 1 (Top): Signal trace (Microstrip)
- Layer 2: Ground plane
- Layer 3: Power plane or additional signal traces
- Layer 4 (Bottom): Signal trace (Microstrip)
- Dk and Trace Width: The dielectric constant (Dk) of a material impacts how the trace behaves in terms of signal transmission. Higher Dk leads to a higher impedance for the same trace width.
The key here is the dielectric material (Dk) between layers, which determines the speed of the signal. Materials with a high Dk (such as PTFE or Rogers laminates) slow the signal down and increase impedance, whereas low Dk materials (like standard FR4) have lower propagation delays.
For example, in high-frequency designs (GHz range), you may need to choose materials like Rogers 4003C or Teflon for lower loss and more consistent impedance behavior. For FR4, with a typical Dk of 4.2, the trace width and spacing will need to be adjusted to maintain the required impedance.
Expert Tip: Always ensure that your signal layer traces are routed directly over solid ground planes or power planes. This minimizes the potential for cross-talk and noise in your PCB design, especially in high-speed systems like memory or RF circuits.
4. Precision Routing and Minimizing Discontinuities
The real challenge in impedance control comes in ensuring there are no discontinuities in the impedance path. Even slight changes in trace width, spacing, or via placement can lead to significant reflection and signal loss. Here are some advanced considerations:
- Vias and Impedance Mismatch: Vias represent one of the biggest sources of impedance discontinuity. When designing for controlled impedance, ensure that vias have reduced inductance and are placed strategically to minimize the impact on signal integrity. A via introduces a local impedance mismatch and can degrade signal quality, especially in high-frequency applications.
- Via Types: Use back-drilled vias or via-in-pad techniques for high-speed traces to reduce the impedance spike caused by the via barrel. If possible, consider routing traces to avoid vias altogether.
- Trace Length Matching: For differential pairs, the length and delay of each trace should be matched as closely as possible to maintain signal symmetry. Mismatched lengths can result in skew, leading to timing issues in high-speed data transmission.
Expert Tip: Use blind and buried vias for high-density designs to minimize the impact of vias on the trace route. Also, try to minimize the use of turns in critical signal traces; instead, route the traces in straight lines as much as possible to preserve impedance continuity.
5. Simulate, Measure, and Iterate: Testing for Impedance Consistency
Once the design is complete, the real work begins. Even the most precise designs should undergo thorough simulation and physical testing to ensure impedance control is achieved in practice.
- Simulation: Use signal integrity (SI) simulation tools to predict how the signal will behave in the presence of various routing conditions and material properties. HyperLynx and Ansys SIwave are popular for PCB signal integrity analysis.
- Time-Domain Reflectometry (TDR): TDR is an essential tool for measuring the actual impedance of a PCB after manufacturing. TDR allows you to visualize impedance discontinuities and helps verify that the physical layout matches the intended design.
- Loss and Skew Measurement: During testing, measure the signal's rise time and fall time to ensure minimal loss and timing discrepancies. Signal quality can degrade as impedance mismatches introduce signal reflections.
Expert Tip: Don't skip prototype testing before moving to large-scale production. Use real-world testing environments to verify the impedance and performance across temperature ranges and different operating conditions. This is particularly important for high-speed applications like DDR, PCIe, or RF systems.
Conclusion
Mastering PCB impedance control requires a deep understanding of both theoretical principles and practical techniques. By considering the physics of signal propagation, accurately calculating trace geometry, choosing the right materials and stack-up, minimizing routing discontinuities, and rigorously testing your design, you can ensure the highest quality signal integrity for high-speed circuits.
By implementing these expert-level strategies, you will not only improve the reliability and performance of your PCB designs but also enhance your expertise as a designer capable of tackling some of the most complex challenges in modern electronics.
Bonus Insight: As signal speeds increase and technology evolves, impedance control techniques will become even more refined. Embrace new materials, tools, and methodologies to stay ahead in the ever-evolving world of high-speed PCB design.
Happy designing, and keep pushing the boundaries of what’s possible in your next PCB project.
pcbmaster
Discussions
Become a Hackaday.io Member
Create an account to leave a comment. Already have an account? Log In.